Os trabalhos desenvolvidos pelos Cartórios das Serventias Extrajudiciais do Acre, que desde 2010 estão sob responsabilidade da iniciativa privada, estão sendo colocados em xeque. Um documento de 20 páginas produzido pelas principais entidades empresariais do Estado revela a fragilidade do serviço prestado e traz a tona os elevados valores cobrados por serviços, que nas demais regiões do país chega a custar bem menos do que vem sendo praticado no mercado local.
O levantamento, que foi encaminhado ao poder judiciário, mostra que passados os primeiros quatro anos desde as primeiras privatizações dos serviços cartoriais, a medida vem se revelado “frustrada”.
As reclamações das entidades norteiam quatro pontos que vão desde a inacessibilidade aos oficiais registradores ou seus prepostos, da insegurança acerca dos valores que serão gastos nos respectivos atos de registros, da cobrança excessiva de emolumentos (taxas) e tabela praticada entre as mais altas do país, desconsiderando os princípios constitucionais que devem ser aplicados, revela o diagnóstico que pede providências ao Poder Judiciário do Acre.
O documento mostra ainda que o péssimo serviço e as taxas exorbitantes estão resultando em evasão registral, citando as dificuldades impostas ao atendimento das demandas dos contribuintes, contrariando o principio da obrigatoriedade.
“As dificuldades ora narradas vão desde “dúvidas” quanto a possibilidade de registro de determinados atos (considerando que tudo pode ser registrado ou averbado, segundo a Lei Federal nº 6.015/1973 – Lei de Registros Públicos)”, revela trecho do documento.
Os empresários ainda reclamam da postura “tendenciosa” dos cartórios de “elevar ao máximo” o valor total a ser pago, seja por interpretações pouco explicadas ou pela acumulação desnecessária de atos registrais, de modo que a soma destes resultem em um valor exorbitante.
As entidades exemplificam que um registro que deveria custar pouco mais de R$ 5 mil, acaba saindo por cerca de R$ 11 mil. Outro ponto reclamando, é sobre os orçamentos prévios solicitados que não demonstram precisão e ainda são sujeitos a alterações diversas.
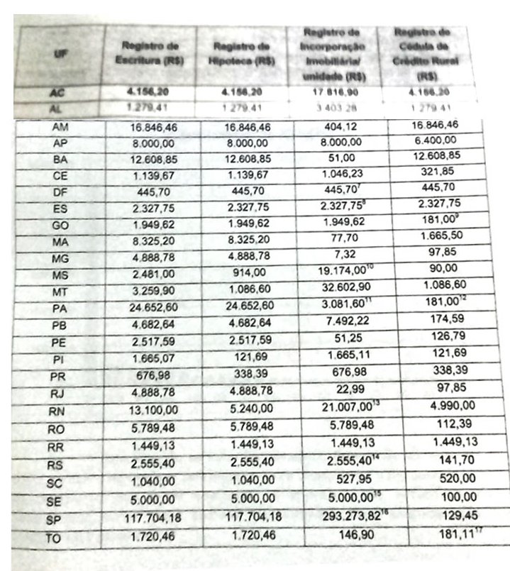
O estudo revela ainda que o Estado do Acre ocupa a oitava posição com as taxas mais caras do país. Enquanto no Acre se cobra 1.425,40 para a efetivação de um registro de Convenção de Condomínio, no Amapá, pelo mesmo serviço se cobra R$ 80. Em Roraima, o valor é ainda menor: R$ 64. Os valores cobrados no Acre variam mais de 800% se comparados com as demais federações de economia semelhante.
O documento é assinado pelos presidentes da Federação das Industrias do Acre (Fieac), Federação da Agricultura e Pecuária do Estado do Acre (Faeac), Federação do Comércio de Bens, Serviços e Turismo do Estado do Acre (Fecomercio), Federação das Associações Comerciais do Acre (Federacre), Associação Comercial Industrial, de Serviço e Agriculola do Acre (Acisa), Sindicato das industrias da Construção Civil do Acre (Sinduscon/AC), Ordem dos Advogados do Brasil no Acre (OAB/AC) e o Conselho Regional de Corretores de Imóveis da 26ª região/AC (CRECI/AC).

