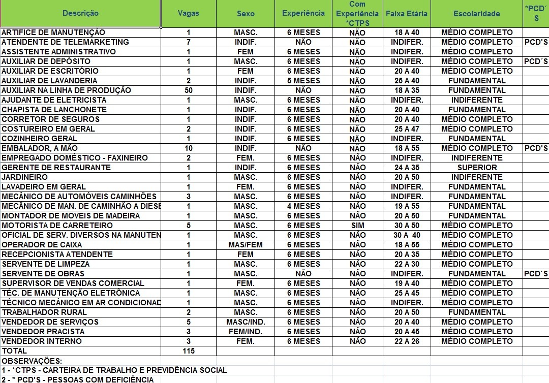
O Sistema Nacional de Emprego no Acre (Sine), está ofertando nesta quarta-feira (16), 115 vagas de emprego para diversas áreas. Os interessados devem comparecer pessoalmente à Sede do órgão, localizada na Avenida Getúlio Vargas, , n°1670 e levar em mãos carteira de trabalho, RG, CPF, e comprovante de escolaridade e de endereço.


