Médicos do Acre denunciam situação critica da Maternidade de Cruzeiro do Sul

  O Sindicato dos Médicos do Acre (Sindmed-AC) encaminhará denúncia ao Ministério Público pela falta de estrutura da Maternidade de Cruzeiro do Sul. Além da falta de médicos para o fechamento da escala, faltam equipamentos para dar suporte a vida dos recém-nascidos. De acordo com o presidente do Sindmed-AC em exercício, Guilherme Pulici, falta equipamento … Leia mais

Ativista gay diz que vai acampar no gabinete de Sebastião Viana para pedir assinatura de decreto

O presidente da Associação do Homossexuais do Acre, Germano Marino, disse em sua página no Facebook que vai acampar no gabinete do governador Sebastião Viana, na Casa Rosada, a partir desta quarta-feira, 10, para pedir a assinatura do decreto de convocação da realização da III Semana Estadual LGBT no Acre. Em sua postagem, o ativista … Leia mais

Desfile dos blocos marca última noite de Carnaval; Concurso é vencido pelo bloco 6 é D+

O bloco 6 é D+ foi o campeão do concurso dos blocos que marcou a última noite do Carnaval 2016 na capital acreana. O grupo campeão recebeu R$ 3 mil em dinheiro, premiação concedida pela Fundação Garibaldi Brasil, órgão municipal responsável pelo evento. O desfile ocorreu na Gameleira, no 2º Distrito de Rio Branco. Os … Leia mais

Na Baixada, mais de mil pessoas comparecem ao Aeroporto Folia; Cadeia Velha faz festa ao lado da quarta ponte

A comunidade da Baixada do Sol também promove seus carnavais comunitários. E como já é de costume a festa na região é bastante prestigiada com boa presença de foliões durante o evento carnavalesco. Entre os mais tradicionais está o Aeroporto Folia, realizado na Rua Acre, no bairro Aeroporto Velho, no estacionamento do Ginásio Coberto, área … Leia mais

Rio de Água Viva reúne centenas de jovens no Sesi durante o feriado de Carnaval

Centenas de jovens católicos se reúnem desde ontem no Ginásio do Sesi, em Rio Branco, no Rio de Água Viva 2016, evento realizado anualmente pela igreja durante o período de Carnaval. Este ano o evento tem por tema: “Vê a alegria que te vem de Deus”,com base no profeta Baruc. “Sede Misericordiosos como Vosso Pai … Leia mais

Bloco do Arrocha da Vila Nova e Xavier Maia promovem carnaval comunitário para multidão

As tradicionais marchinhas de Carnaval, o axé e o samba enredo ditaram o ritmo da folia no Xavier Maia e Vila Nova, bairros localizados parte alta da cidade, neste domingo, 07. No bairro Vila Nova, o Carnaval é comandado pelo Bloco do Arrocha. A festa reuniu dezenas de pessoas. Vizinhos que aproveitam o feriado para … Leia mais

Desembargadora Cezarinete Angelim assume governo do Acre

A presidente do Tribunal de Justiça, desembargadora Maria Cezarinete Angelim, tomou posse como governadora em exercício do Estado do Acre durante rápida solenidade na manhã desta sexta-feira, 05, na sede do Tribunal.  A nomeação foi feita pela chefe da Casa, Civil, em exercício, Flora Valadares Coelho, que assume o cargo no lugar de Márcia Regina. … Leia mais

Ex-chefe do MPF no Acre reabre inquérito sobre compra de caças da FAB

O ex-chefe da Procuradoria Geral da República no Acre, Anselmo Henrique Cordeiro Lopes, que hoje atua no MPF do Distrito Federal, pediu o desarquivamento do inquérito civil instaurado no ano passado para apurar suspeitas de irregularidades na compra de aviões caça Gripen pela Força Aérea Brasileira (FAB). O inquérito foi instaurado durante a Operação Zelotes, … Leia mais

Prefeitura de Porto Walter é a primeira do Acre a pagar salario em 2016

O prefeito do município já iniciou 2016 dando Ordem de Serviço para cinco obras municipais que proporciona empregos e geração de renda. “A frase adotada por nossa gestão Trabalho, esse é o nosso compromisso só é valida porque, diferente do passado, estamos verdadeiramente trabalhando”! Disse o prefeito. Para se ter uma ideia, o Calendário de … Leia mais

Organização do Carnaval de Tarauacá proíbe entrada de cerveja

Uma medida tomada por um dos organizadores do Carnaval 2016 do Calçadão da avenida Coronel Juvêncio de Menezes, na cidade de Tarauacá, começa a gerar polêmica nas redes e entre os foliões. A organização proibiu a entrada na área da festa de caixas térmicas com cervejas. No caso das chamadas ‘bebidas quentes’ terão que pagar … Leia mais

Mais de 1,4 mil homens estão escalados para dar segurança ao Carnaval de Rio Branco

A cúpula da Segurança Pública do Acre e os representantes do governo e da prefeitura de Rio Branco que ajudarão a promover o Carnaval 2016, na capital, informaram detalhes, na manhã desta quinta-feira, 04, durante coletiva, do esquema de segurança durante a quina carnavalesca. Serão 1,2 mil policiais militares, 240 por noite; 100 policiais civis … Leia mais

Morre em SP jornalista Clelio Rabelo que lutava contra o câncer

O jornalista Clelio Rabelo faleceu na madrugada desta quinta-feira, 04, aos 60 anos, num hospital em Barretos (SP), onde lutava contra um câncer. Natural de Catalão (GO), Clelio passou a metade de sua vida no Acre, onde trabalhou em quase todas a empresas de comunicação. Também trabalhou na assessoria de imprensa do governo do Estado … Leia mais

Presidente do Tribunal de Justiça será governadora do Estado durante o Carnaval; Sebastião Viana viajará ao Peru

A presidente do Tribunal de Justiça do Acre, desembargadora Maria Cezarinete, vai assumir o governo do Estado por seis dias, durante todo o período do Carnaval. A informação foi dada hoje pelo próprio governador Sebastião Viana. Ele viaja sexta-feira, de carro, para Cuzco, Peru, com a esposa Marlucia e os filhos Catarina e Virgilio. Viana … Leia mais

Irmã de vítima de acidente no Universitário faz desabafo a Sebastião

  A internauta Kaina Mota fez um desabafo direcionado ao governador Sebastião Viana via Facebook nesta quarta-feira, 03. Kaina é irmã de uma das seis vítima de um grave acidente ocorrido no sábado passado, 30, com três veículos na rotatória que dá acesso ao Conjunto Universitário, na BR-364. O acidente envolveu um Corsa, um Celta … Leia mais

Tocha Olímpica será trazida ao Acre no dia 21 de junho, informa ministro em agenda no Acre

A Tocha será trazida a Rio Branco por integrantes do Comitê Olímpico no dia 21 de junho e ficará na cidade durante todo o dia, informou o ministro dos Esportes, George Hilton, durante agenda com o governador Sebastião Viana, o prefeito Marcus Viana e a presidente do Tribunal de Justiça, desembargadora Maria Cezarinete, na Casa … Leia mais

Por causa de chuvas intensas, Tarauacá deve enfrentar nova enchente

As chuvas intensas devem ocasionar uma rápida enchente em Tarauacá, informou o meteorologista Davi Friale. Segundo o pesquisador, o nível do rio Tarauacá subiu quase 5 metros, em apenas 24 horas, atingindo a marca de 9,70m, às 10 horas desta terça-feira, 2 de fevereiro de 2016. Ontem, no início do dia, seu nível era de … Leia mais

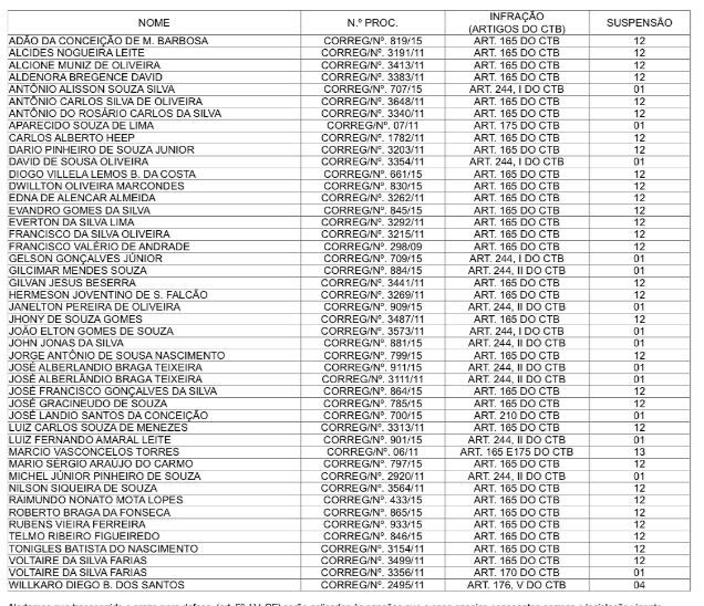
Nova lista do Detran informa suspensão de mais de 40 CNHs no Acre

O Diário Oficial do Estado traz nesta terça-feira, 02, uma lista com mais de 40 motoristas que terão o direito de dirigir suspenso pelo Departamento Estadual de Trânsito. A maioria dos condutores listados foi flagrado dirigindo alcoolizado, o que gera uma suspensão da CNH por até um ano, segundo informa a lista.   Ainda segundo … Leia mais

Policial federal assume executiva municipal do PTB de Rio Branco

O policial federal Franklin Albuquerque assumiu a executiva municipal do PTB (Partido Trabalhista Brasileiro). Franklin é presidente da Nova Central Sindical dos Trabalhadores no Acre e Rondônia e foi convencido pelo governador Sebastião Viana, após várias conversas, a ingressar no partido.   Ele chega ao PTB para organizar a sigla para as eleições municipais. Sua … Leia mais

Sehab diz que não há necessidade de devolução de casas populares na capital

O esquema de venda de unidades habitacionais da Cidade do Povo e de outros programas habitacionais feito por uma quadrilha desarticulada pela Polícia Civil do Acre durante a Operação Lares teria iniciado no final do ano 2013 e começo de 2014, informou o secretário de Habitação do Estado, Jamyl Asfury. O caso chegou ao chefe … Leia mais

Chuva que atingiu parte do Acre de ontem para hoje elevou o nível dos rios, diz Friale

  A chuva torrencial entre a noite deste domingo, 31, e a madrugada desta segunda-feira, 01, que atingiu o Vale do Rio Acre (Rio Branco, Brasileia e Capixaba) e os municípios de Tarauacá e Feijó, foi a maior registrada em 2016. Choveu o equivalente a 80 litros de água por metro quadrado. A precipitação durou … Leia mais

O governo não pode pagar o que não tem”, diz Sebastião Viana ao comentar possível greve geral da Saúde do Acre

Os servidores da Saúde do Acre ensaiam uma greve geral para o dia 31 de março. A lista de reivindicações da categoria é grande. Entre os itens estão: reposição linear das perdas salariais em 25,98% (vinte e cinco vírgula noventa e oito por cento), sobre o vencimento base, para todos os trabalhadores em saúde do … Leia mais