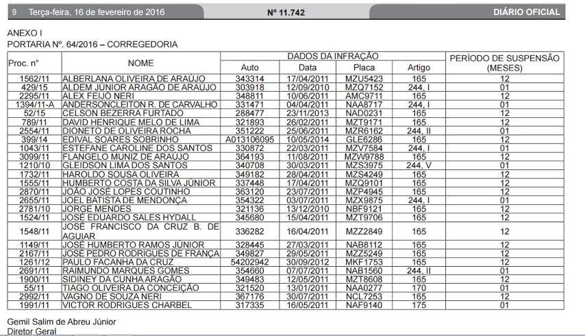
O Departamento Estadual de Trânsito (Detran) publicou nova portaria, no Diário Oficial do Acre, suspendendo o direito de dirigir de diversos condutores.
Todos os casos, segundo a portaria, tramitaram junto à Gerência de Corregedoria do Detran-AC, nos quais foram respeitados os princípios da ampla defesa e contraditório. A suspensão ocorre após a comprovada materialidade das infrações.
Os condutores deverão apresentar os respectivos documentos de habilitação à Divisão de Corregedoria do DETRAN-AC, quando então se dará início ao cumprimento da referida penalidade.
Os infratores notificados ficam impedidos de dirigir veículos automotores em todo território nacional e, caso ocorra descumprimento, acarreta a cassação de habilitação.
Transcorrido o período de suspensão e comprovada a freqüência a curso de reciclagem, os condutores poderão requerer a devolução de suas habilitações.
