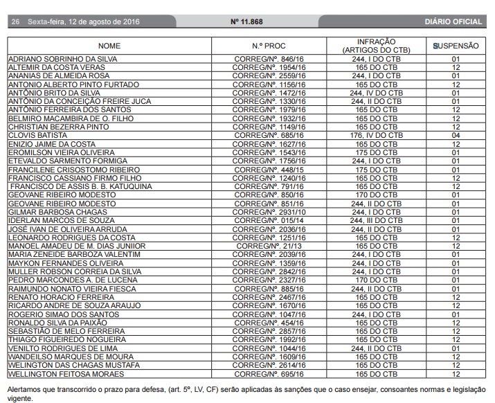
A Diretoria Geral do Departamento Estadual de Trânsito do Acre (Detran) publicou no Diário Oficial do Estado (DOE) desta sexta-feira, 12, uma extensa lista de motoristas notificados em virtude do cometimento de infrações de trânsito.
De acordo com a publicação, 78 condutores foram notificados com penalidades que variam de 30 dias até 12 meses, dependendo da gravidade de cada infração cometida. Os listados terão um prazo de 15 dias apresentarem defesa administrativa perante Corregedoria. Aqueles que não obedecerem os prazos sofrerão suspensão de seu direito de dirigir.
